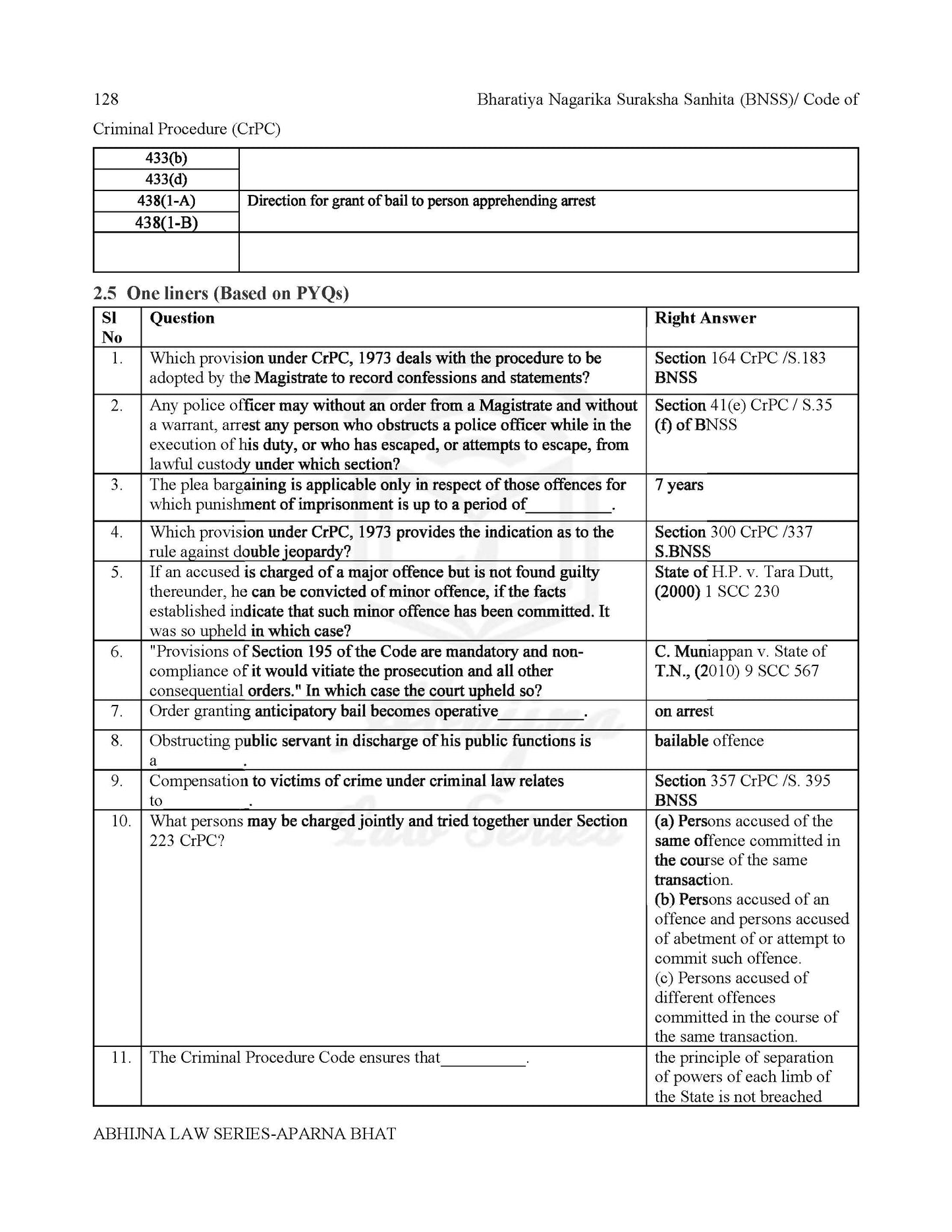
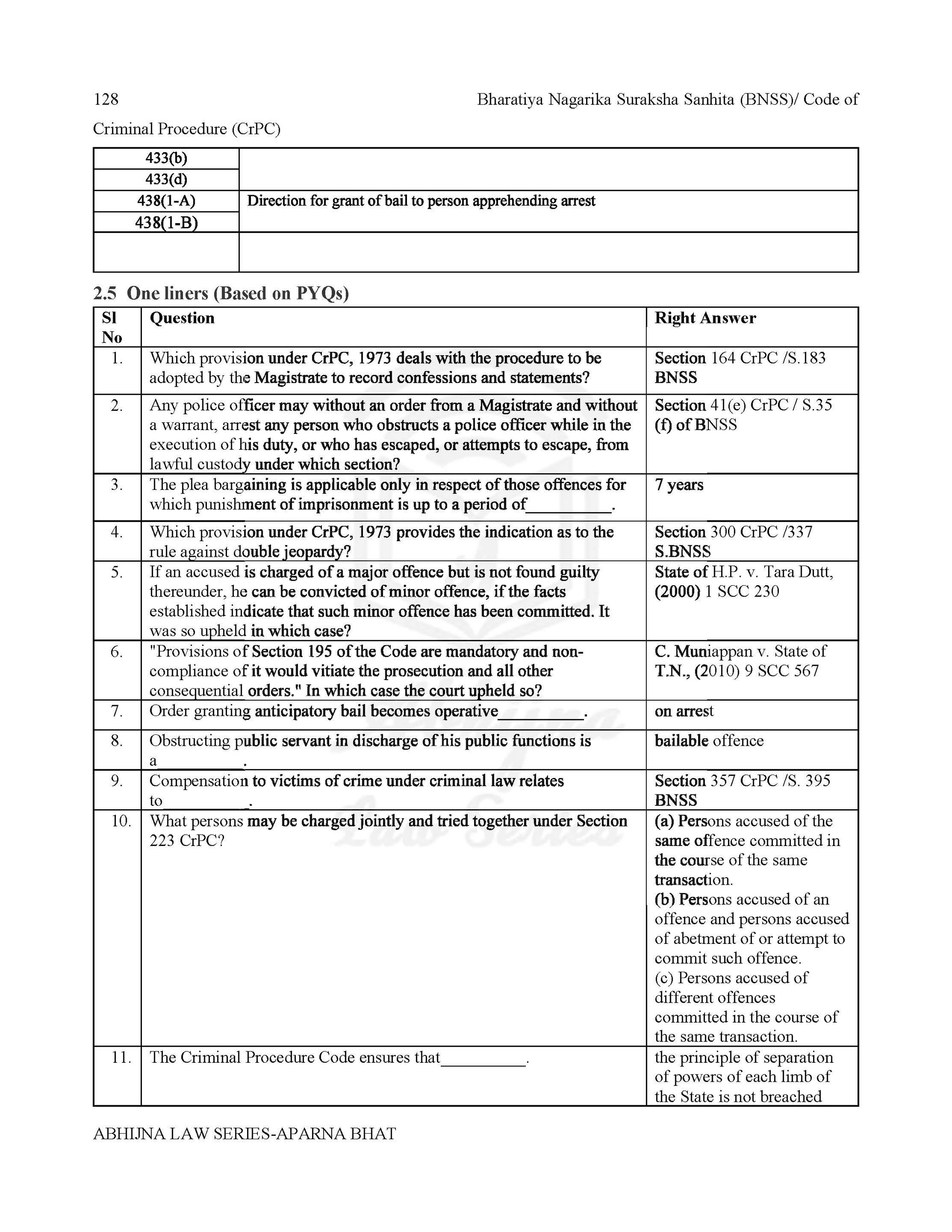
1
/
of
25
Judiciary Prelims Ready Reckoner (All States) Charts & One Liners [Paperback] Aparna Bhat and Anuradha Bhat
Judiciary Prelims Ready Reckoner (All States) Charts & One Liners [Paperback] Aparna Bhat and Anuradha Bhat
Regular price
Rs. 650.00
Regular price
Sale price
Rs. 650.00
Shipping calculated at checkout.
Quantity
Couldn't load pickup availability
📚 Subjects Covered:
-
Indian Constitution
-
Civil Procedure Code, 1908 (CPC)
-
Criminal Procedure Code, 1973 (CrPC) & BNSS, 2023
-
Indian Penal Code, 1860 (IPC) & BNS, 2023
-
Indian Evidence Act, 1872 (IEA) & BSA, 2023
-
Indian Contract Act, 1872
-
Transfer of Property Act, 1882
-
Specific Relief Act, 1963
-
Negotiable Instruments Act, 1881
🌟 Highlights:
-
🔖 Marked Important Sections
-
❓ 1000+ One-Liners, Illustrations, Case Laws & More
-
👁️ Quick Bird’s-Eye View of Each Chapter
-
📊 Simplified Charts & Tables for Conceptual Clarity
-
🧠 Memory-Based Approach for Easy Retention
Share
![Judiciary Prelims Ready Reckoner (All States) Charts & One Liners [Paperback] Aparna Bhat and Anuradha Bhat](http://abhijnabooks.com/cdn/shop/files/Content_Page_05.jpg?v=1749195211&width=1445)